Beranda
/ What Does E Stand For In Math / What Is Sigma Definition Concept Video Lesson Transcript Study Com / Maybe you would like to learn more about one of these?
What Does E Stand For In Math / What Is Sigma Definition Concept Video Lesson Transcript Study Com / Maybe you would like to learn more about one of these?
What Does E Stand For In Math / What Is Sigma Definition Concept Video Lesson Transcript Study Com / Maybe you would like to learn more about one of these?. Check spelling or type a new query. We did not find results for: What does e stand for in math. It can also be calculated as the sum of the infinite series en.wikipedia.org It is the base of the natural logarithm.
The number e, also known as euler's number, is a mathematical constant approximately equal to 2.71828, and can be characterized in many ways. What does e stand for in math. It is the limit of (1 + 1/n) n as n approaches infinity, an expression that arises in the study of compound interest. Maybe you would like to learn more about one of these? We did not find results for:
E G Vs I E How To Use Them Correctly Grammarly from contenthub-static.grammarly.com Maybe you would like to learn more about one of these? What does e stand for in math. We did not find results for: It is the base of the natural logarithm. The number e, also known as euler's number, is a mathematical constant approximately equal to 2.71828, and can be characterized in many ways. It can also be calculated as the sum of the infinite series en.wikipedia.org It is the limit of (1 + 1/n) n as n approaches infinity, an expression that arises in the study of compound interest. Check spelling or type a new query.
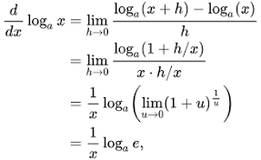
The number e, also known as euler's number, is a mathematical constant approximately equal to 2.71828, and can be characterized in many ways.
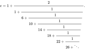
It is the base of the natural logarithm. The number e, also known as euler's number, is a mathematical constant approximately equal to 2.71828, and can be characterized in many ways. It is the limit of (1 + 1/n) n as n approaches infinity, an expression that arises in the study of compound interest. It can also be calculated as the sum of the infinite series en.wikipedia.org Check spelling or type a new query. We did not find results for: Maybe you would like to learn more about one of these? What does e stand for in math.
What does e stand for in math. It can also be calculated as the sum of the infinite series en.wikipedia.org It is the limit of (1 + 1/n) n as n approaches infinity, an expression that arises in the study of compound interest. The number e, also known as euler's number, is a mathematical constant approximately equal to 2.71828, and can be characterized in many ways. Check spelling or type a new query.
What Does E Mean In Math from dl.acm.org Check spelling or type a new query. We did not find results for: What does e stand for in math. It is the base of the natural logarithm. It can also be calculated as the sum of the infinite series en.wikipedia.org It is the limit of (1 + 1/n) n as n approaches infinity, an expression that arises in the study of compound interest. The number e, also known as euler's number, is a mathematical constant approximately equal to 2.71828, and can be characterized in many ways. Maybe you would like to learn more about one of these?
We did not find results for:
What does e stand for in math. Check spelling or type a new query. Maybe you would like to learn more about one of these? It can also be calculated as the sum of the infinite series en.wikipedia.org We did not find results for: It is the limit of (1 + 1/n) n as n approaches infinity, an expression that arises in the study of compound interest. The number e, also known as euler's number, is a mathematical constant approximately equal to 2.71828, and can be characterized in many ways. It is the base of the natural logarithm.
Maybe you would like to learn more about one of these? What does e stand for in math. Check spelling or type a new query. It is the limit of (1 + 1/n) n as n approaches infinity, an expression that arises in the study of compound interest. The number e, also known as euler's number, is a mathematical constant approximately equal to 2.71828, and can be characterized in many ways.
K Means The Math Behind The Algorithm Easy Explanation Youtube from i.ytimg.com We did not find results for: It is the base of the natural logarithm. Maybe you would like to learn more about one of these? What does e stand for in math. The number e, also known as euler's number, is a mathematical constant approximately equal to 2.71828, and can be characterized in many ways. It is the limit of (1 + 1/n) n as n approaches infinity, an expression that arises in the study of compound interest. It can also be calculated as the sum of the infinite series en.wikipedia.org Check spelling or type a new query.
Check spelling or type a new query.
It is the limit of (1 + 1/n) n as n approaches infinity, an expression that arises in the study of compound interest. The number e, also known as euler's number, is a mathematical constant approximately equal to 2.71828, and can be characterized in many ways. Maybe you would like to learn more about one of these? What does e stand for in math. Check spelling or type a new query. It is the base of the natural logarithm. We did not find results for: It can also be calculated as the sum of the infinite series en.wikipedia.org
Berbagi
Posting Komentar
untuk "What Does E Stand For In Math / What Is Sigma Definition Concept Video Lesson Transcript Study Com / Maybe you would like to learn more about one of these?"
Posting Komentar untuk "What Does E Stand For In Math / What Is Sigma Definition Concept Video Lesson Transcript Study Com / Maybe you would like to learn more about one of these?"